MATEMATIKA IPA UM UGM 2017 KODE 713

1. Jika 3log x + 4log y2 = 5, maka nilai maksumum daro 3log x.2log y adalah …

a. 25/4 b. 25/9 c. 25/16 d. 1 e. 25/36

 

2. Dalam pemilihan pengurus kelas, terpilih 5 calon , 3 laki-laki dan 2 perempuan. Posisi yang tersedia yaitu ketua, wakil ketua, sekretaris, bendahara I, dan bendahara II. Jika ketua kelas harus laku-laki, maka banyaknya pengurus yang mungkin adalah …

a. 5 b. 24 c. 48 d. 72 e. 120

 

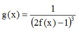
3. Diketahui f(0) = 1 dan f’(0) = 2. Jika

UM UGM 2017

maka g ’(0) = …

a. –12 b. –6 c. 6 d. 8 e. 12

 

4. Jika akar-akar persamaan suku banyak x3 — 12x2 + (p+4)x — (p + 8) = 0 membentuk deret aritmetika dengan beda 2, maka p — 36 =…

a. –2 b. 0 c. 4 d. 8 e. 12

 

5. Titik pusat lingkaran L terletak di kuadran I dan terletak pada garis y = 2x + 1. Jika lingkaran L menyinggung sumbu Y di titik (0, 11) maka persamaan lingkaran L adalah …

a. x2 + y2 — 5x — 11y = 0
b. x2 + y2 + 5x + 11y — 242 = 0
c. x2 + y2 — 10x — 22y + 121 = 0
d. x2 + y2 — 5x + 11y = 0
e. x2 + y2 + 10x + 22y — 363 = 0

 

 

Matematika IPA UM UGM 2018

Matematika dasar UM UGM 2018

MATEMATIKA DASAR UM UGM 2018 KODE 285

1. Jika

um ugm no 1a

dan x memenuhi

um ugm no 1b maka nilai hasil kali semua nilai p yang memenuhi adalah …

a. 0 b. 1 c. 2 d. 4 e. 8

Pembahasan nomor 1

 

2. Jika

um ugm no 2

maka 27x =…

a. 8 b. 9 c. 27 d. 64 e. 125

Pembahasan nomor 2

 

3. Diketahui b, c, d bilangan-bilangan bulat positif. Jika parabola y = x2 + bx + c dan garis y = dx mempunyai tepat satu titik berserikat, maka pernyataan berikut yang benar adalah …

a. b = 0
b. d — b genap
c. c = 0
d. |d| = |b|2 +|c|2
e. d > 1

Pembahasan nomor 3

 

4. Jika a > 0 dan selisih akar-akar persamaan kuadrat 5x2 — 10ax + 8a = 0 sama dengan 3, maka a2 — a =…

a. 1 1/9 b. 3¾ c. 4 4/9 d. 7½ e. 8¾

Pembahasan nomor 4

 

5. Jika x dan y bilangan real yang memenuhi x — y = 1 dan (x2 — y2)(x2 — 2xy + y2) = 3, maka nilai xy =

a . 1 — √2 b. 0 c. 1 d. 2 e. 1 +√2

Pembahasan nomor 5

 

 

UM UGM Matematika IPA 2018

UM UGM Matematika IPA 2017